Ответы
Ответ дал:
0
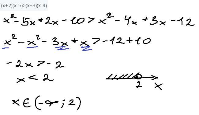
Ответ:
Фото
Объяснение:
Приложения:

Ответ дал:
0
Ответ:
:))))))))))))))))))))
Приложения:

Вас заинтересует
2 года назад
3 года назад
3 года назад
8 лет назад
8 лет назад