• Предмет: Математика
  • Автор: 2287355
  • Вопрос задан 7 лет назад

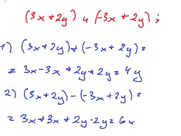
знайти суму та різницю многочленів (3x + 2y) + (-3x + 2y) СРОЧНО ДАЮЮ МНОГО БАЛОВВВ!!!!!!​

Ответы

Ответ дал: skala
1

Ответ:

Надеюсь я вас правильно понял

Пошаговое объяснение:

Приложения:
Ответ дал: zpredmi
1

Ответ:

0

Пошаговое объяснение:

(3x+2y)+(-3x+2y)=3x+2y-3x-2y(сказачиваеться ) =0

Вас заинтересует