знайти суму та різницю многочленів (2x² - 3x) + (5x _ x²) СРОЧНООООО ДАЮ МНОГО БАЛОВВВ!!!!!!!!!!!!!!
sotnykira:
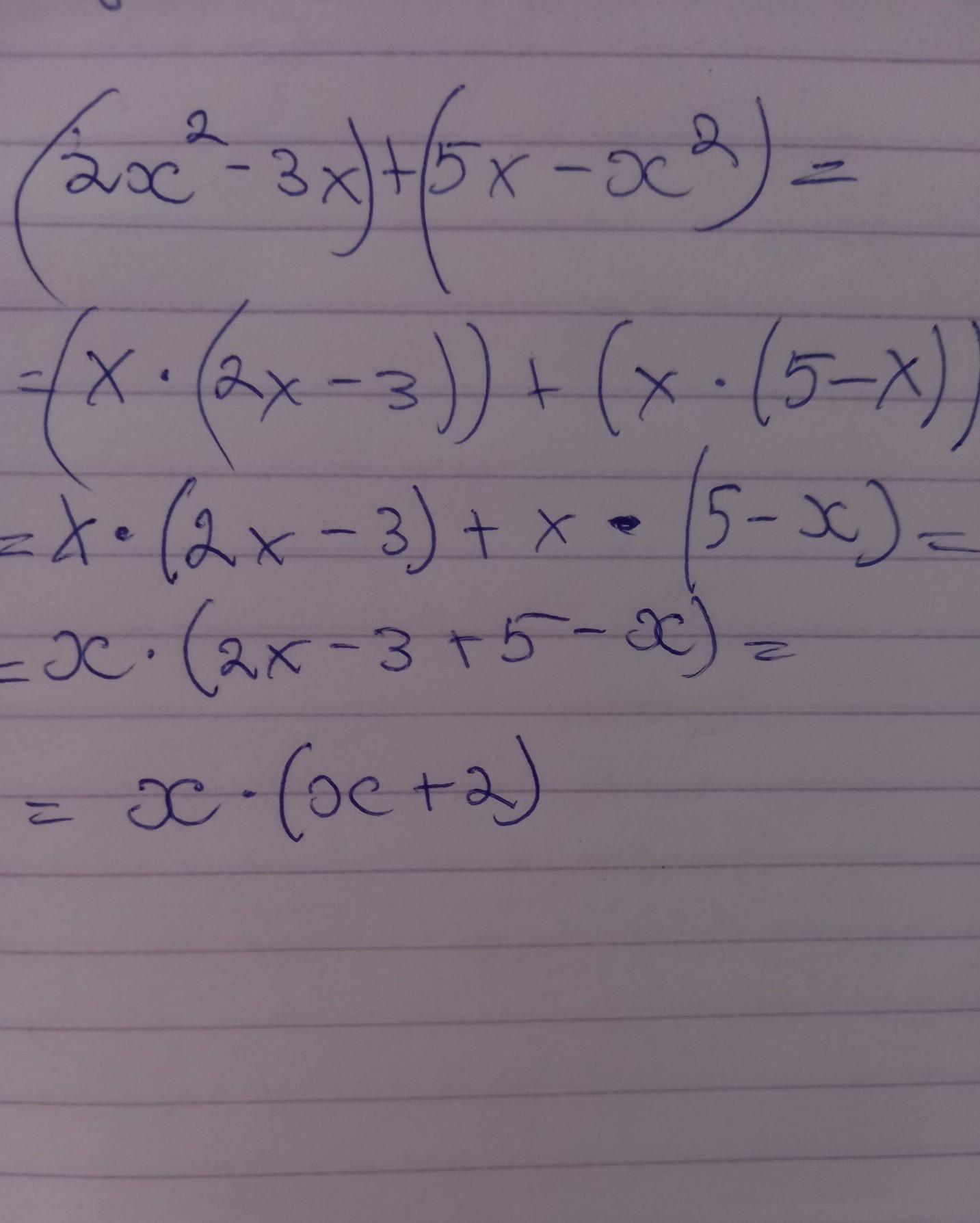
Сума: (2x²-3x)+(5x-x²)=2x²-3x+5x-x²=2x²-x²-3x+5x=x²+2x
Ответы
Ответ дал:
0
Пошаговое объяснение:
вдвдададвддадаьаьаьада
Приложения:

Вас заинтересует
3 года назад
3 года назад
8 лет назад
8 лет назад