• Предмет: Математика
  • Автор: Аноним
  • Вопрос задан 8 лет назад

СРОЧНО МНОГО БАЛОВ!!!!

Приложения:

Ответы

Ответ дал: hrafejda
1

Ответ:

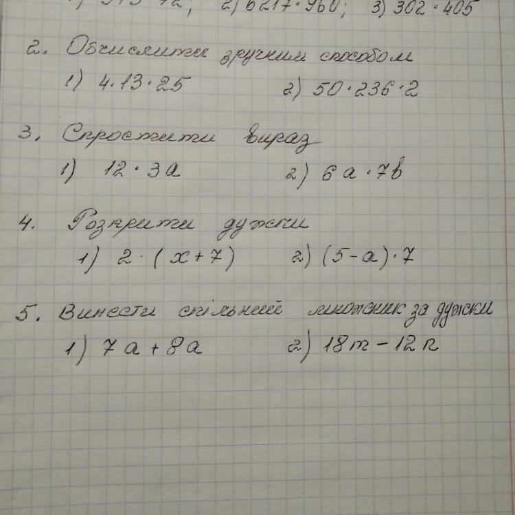
3.

1) 12* 3a= 36a

2) 6a *7b= 42 ab

4.

1) 2*(x+7) =2x+ 14

2) (5-a)*7= 35- 7a

5.

1) 7a+8a= a(7+8)

2) 18m-12n= 6(3m-2n)

2.

1) 4*13*25= (4*25)*13= 100*13=1300

2) 50*236*2=(50*2)*236= 100*236=23600

Вас заинтересует