• Предмет: Химия
  • Автор: nadiamaz2008
  • Вопрос задан 8 лет назад

Визначте масову частку елемента, що розташований у четвертому періоді, підгрупі 7А, у його леткій сполуці з Гідрогеном.
(Срочно!!!!)

Ответы

Ответ дал: Rainbow0potato
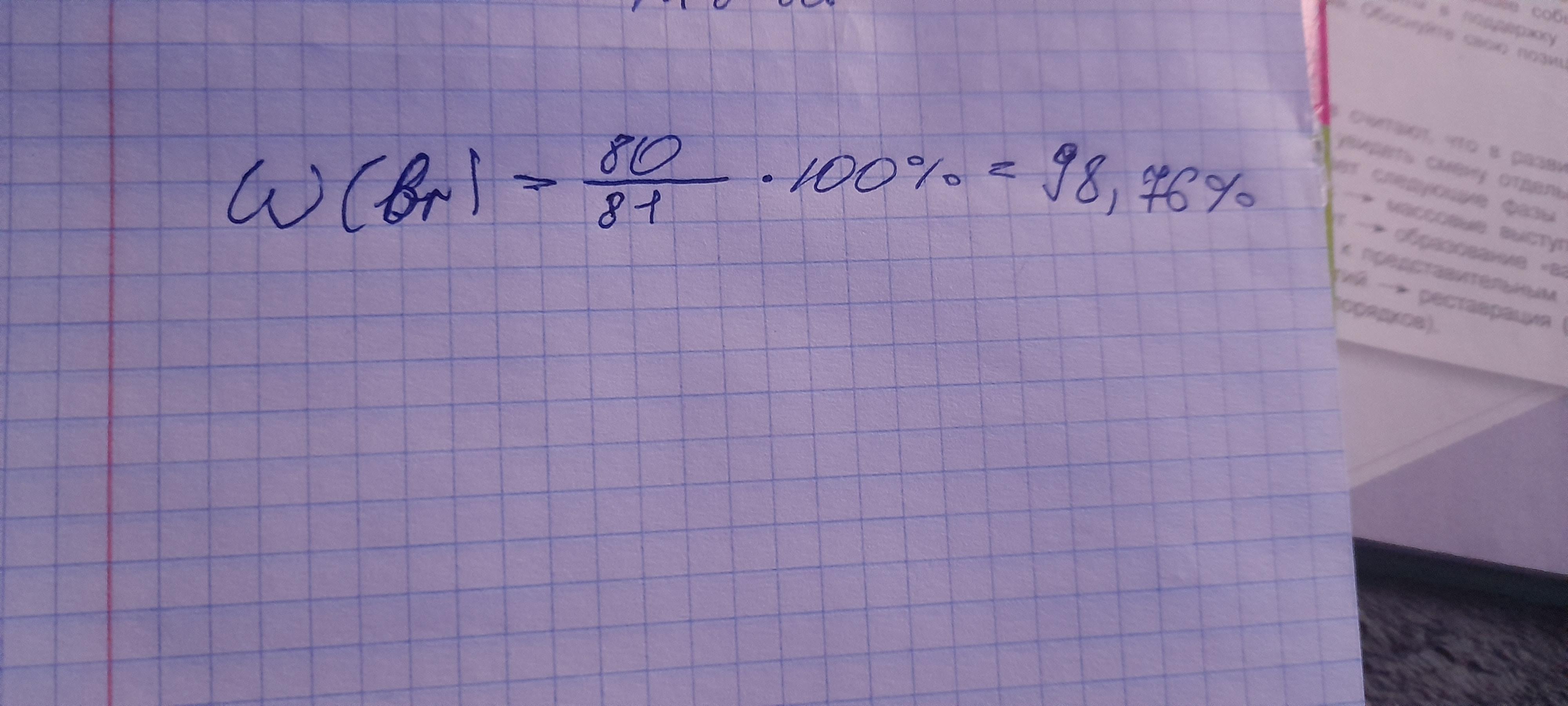
1

Элемент бром(Br)

HBr- наше вещество

Массовая доля брома в этом веществе= 98,76%

Приложения:

nadiamaz2008: Спасибо тебе большое)
Rainbow0potato: Обращайся)
nadiamaz2008: У меня есть ещё вопрос по химии, если не сложно можешь помочь?)
dasha20483: извини можешь помочь с задачей по физике
dasha20483: Яку кількість теплоти потрібно відібрати від 50 г водяної пари з температурою 100°С, щоб отримати 50 г льоду з температурою 0°С?
dasha20483: я тебя прошу просто очень надо
dasha20483: пожалуйста
nadiamaz2008: пыталась решить твою задачу, но что не получается (
Rainbow0potato: Если есть вопросы всегда помогу)
izyman: откуда там 81?
Вас заинтересует