Ответы
Ответ дал:
1
Ответ:
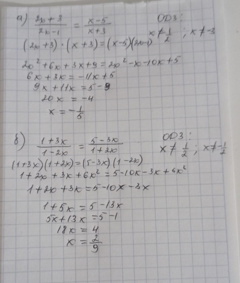
а)-1/5
б)2/9
Объяснение:
перекрестно умножить,раскрыть скобки,убрать равные гласные,привести подобные члены,перенести слагаемое, вычислить ,разделить обе стороны
Приложения:

Вас заинтересует
2 года назад
2 года назад
3 года назад
8 лет назад
8 лет назад
9 лет назад