• Предмет: Алгебра
  • Автор: arturkarumov
  • Вопрос задан 8 лет назад

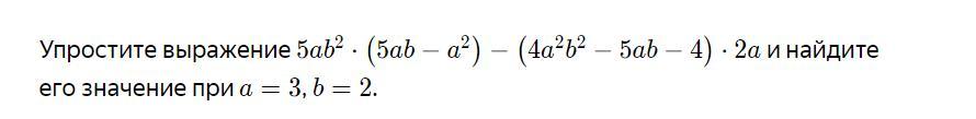
Прошу помогите срочно!

Приложения:

Ответы

Ответ дал: TfsSssssssdd
0
Не факт что правильно
Приложения:
Вас заинтересует