Ответы
Ответ дал:
1
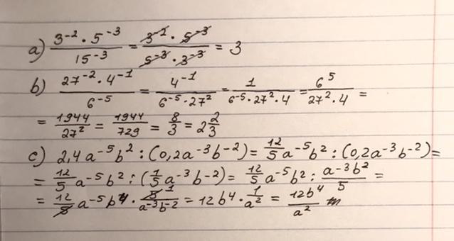
ответ на фото……………………
Приложения:

tetyanak25:
блин, я случайно пример с) взяла с 18. сейчас сделаю с 17 упражнения.
Вас заинтересует
2 года назад
2 года назад
3 года назад
3 года назад
8 лет назад
9 лет назад