СПРОСТІТЬ ВИРАЗИ:
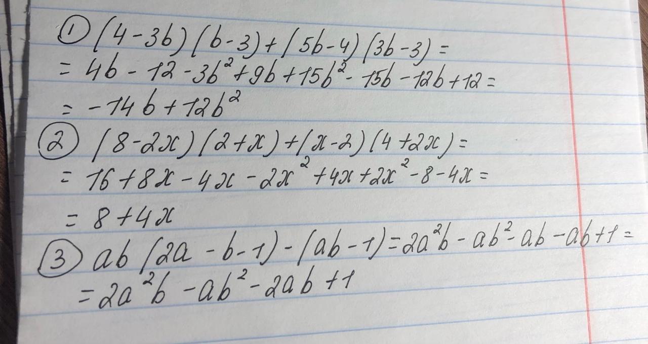
1) (4 - 3b)(b-3) + (5b-4)(3b-3);
2) (8-2x)(2+x)+(x-2)(4+2x);
3) ab(2a-b-1)-(ab-1);
Ответы
Ответ дал:
1
Ответ на фотографии.
Приложения:

Вас заинтересует
2 года назад
3 года назад
8 лет назад
8 лет назад
9 лет назад