СРОЧНО даю 50 балов у меня остался 1 час нужно писать с дано знайти Cl розв’язання відповідь
Приложения:

Ответы
Ответ дал:
1
1 - Г.
2 - Г.
3 - А.
4 - t=S/V t=1,2 * 1000 м / 15 м/с = 80 с
80 с - 1 минута и 20 секунд
В.
5. V=Vo+at (так как движение равноускоренное)
-Vo=-V+at
Vo=V-at
Vo=20 м/с - 0,5 м/с2 * 10 с = 15 м/с
В.
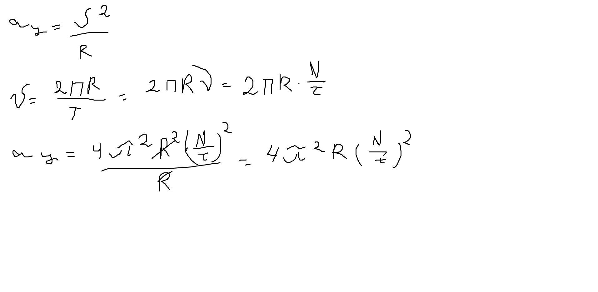
6. формула расчета на фото
7, 8 м/с2 = 8 м/с
А.
Приложения:

Вас заинтересует
2 года назад
3 года назад
3 года назад
8 лет назад
8 лет назад
9 лет назад