291. Найдите значение
выражения:
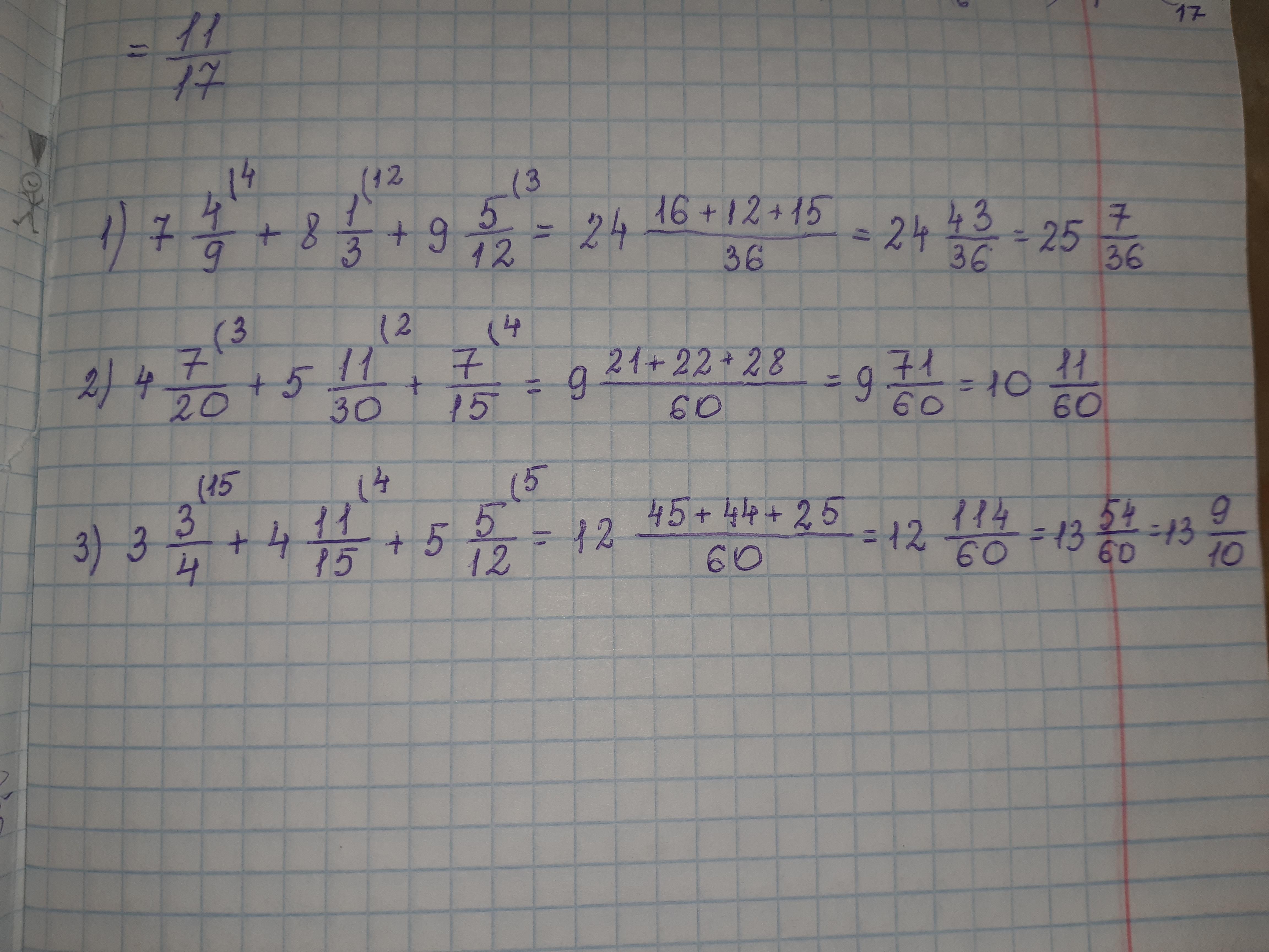
1) 7 4/9+8 1/3+9 5/12; 2) 4 7/20+5 11/30+7/15; 3) 3 3/4+4 11/15+5 5/12,
Ответы
Ответ дал:
4
Ответ:
На фото
Пошаговое объяснение:
Приложения:

mashamalinkap98:
1)22 7/36
Вас заинтересует
2 года назад
2 года назад
3 года назад
3 года назад
8 лет назад
9 лет назад
9 лет назад