Написать программу для расчета значения функций.

Приложения:

Ответы

Ответ дал: restIess
1

#python

#Вводим переменные с клавиатуры

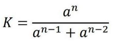
a = float(input("a="))

n = float(input("n="))

#Закидываем в переменную K значение выражения

K = a**n / (a**(n-1) + a**(n-2))

#Выводим K

print(K)


lemxgg: Читай внимательно, python
restIess: Где мне это читать?)
lemxgg: Извиняюсь мужик, путанул
restIess: Исправил на питон)
Ответ дал: Аноним
1

Ответ:

Объяснение:

// PYTHON //

a = int(input("Input A: "))

n = int(input("Input n: "))

print('K= ',a**n/((a ** (n- 1) + a ** (n - 2))))


lemxgg: А можно с комментариями?
Вас заинтересует