Ответы
Ответ дал:
1
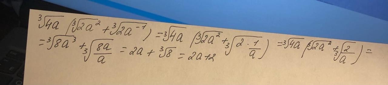
Ответ на фотографии.
Приложения:

Аноним:
спасибо, святой человек ♡
Ответ дал:
1
Вас заинтересует
3 года назад
8 лет назад
8 лет назад
9 лет назад