• Предмет: Алгебра
  • Автор: Аноним
  • Вопрос задан 7 лет назад

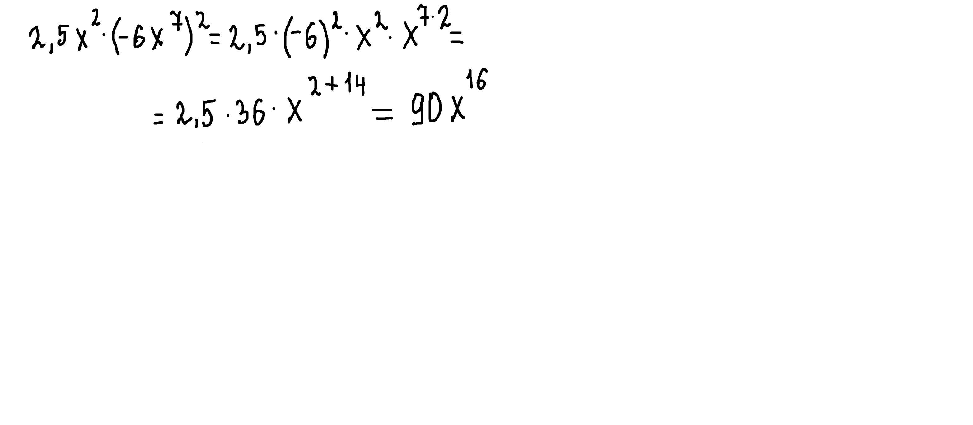
Виконайте множення одночленів: 2,5х2 ⋅ (-6х7)2 = ...

Ответы

Ответ дал: sultan9696
0

-60x+14

Объяснение:

ирррррннц12ш6666лш664222467


Аноним: Это ответ или пример?
sultan9696: ответ
Ответ дал: parus77
1

Ответ:

Объяснение:

решение внизу

Приложения:
Вас заинтересует