• Предмет: Алгебра
  • Автор: nhgfaf
  • Вопрос задан 8 лет назад

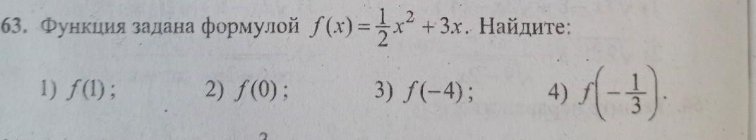
хелп,надо срочно сделать​

Приложения:

Ответы

Ответ дал: Figop
1

Ответ:

Объяснение:на фото

Приложения:
Вас заинтересует