Ответы
Ответ дал:
0
Ответ дал:
1
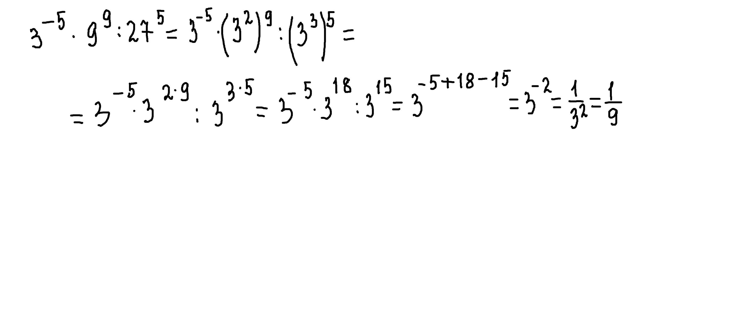
Ответ:
1\9
Объяснение:
решение внизу
Приложения:

Вас заинтересует
2 года назад
2 года назад
3 года назад
3 года назад
8 лет назад
8 лет назад
9 лет назад