• Предмет: Математика
  • Автор: valeria20149
  • Вопрос задан 7 лет назад

Помогите пожалуйста

Приложения:

Ответы

Ответ дал: ddsergeevna
0

Ответ:

5 1/32

Пошаговое объяснение:

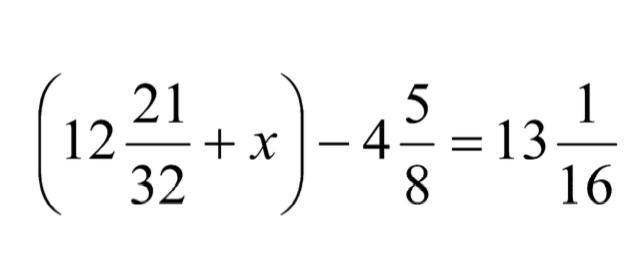
12 21/32 +x=13 1/16+ 4 5/8

12 21/32+х=13 1/16 + 4 10/16

12 21/32 + х =17 11/16

х = 17 11/16 - 12 21/32

х = 17 22/32 - 12 21/32

х = 5 1/32

Ответ дал: SparTans00
0

Ответ:

Пошаговое объяснение:

(12\frac{21}{32}+x)-4\frac{5}{8}  =13\frac{1}{16}

12\frac{21}{32} + x=13\frac{1}{16} +4\frac{5}{8}

x=\frac{209}{16} + \frac{45}{8} -\frac{405}{32}

x= \frac{299}{16} -\frac{405}{32} =\frac{193}{32}  

Пошаговое объяснение:

Вас заинтересует