• Предмет: Алгебра
  • Автор: artemtop574
  • Вопрос задан 8 лет назад

помогите пожалуйста прошу вас​

Приложения:

Universalka: По моему в первом задании опечатка
artemtop574: а как правильно
Universalka: Справа должно быть какое -то число но не 10 .
Universalka: Возможно там не 10 , а 1 .
Universalka: Второе легко решается заменой

Ответы

Ответ дал: Хуqожнuк
0

Ответ:

1)\;\;{\varnothing}\\\\2)\;\;-3\;\dfrac{3}{8};\;\; \dfrac{1}{27}

Объяснение:

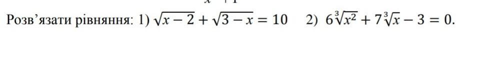
1)\;\sqrt{x-2}+\sqrt{3-x}=10

Найдём ОДЗ:

\left \{ {{\Big{x-2\geq 0,}} \atop {\Big{3-x\geq 0}}} \right. \\\\\left \{ {{\Big{x\geq 2,}} \atop {\Big{x\leq  3}}} \right.

На отрезке [2; 3]:

0\leq \sqrt{x-2} \leq 1\\ \\ 0\leq \sqrt{3-x} \leq 1

Тогда их сумма не превзойдёт 2, а 2 < 10, следовательно решений у уравнения не будет.

* К такому же выводу можно прийти, возводя левую и правую части уравнения в квадрат.

Ответ: ∅

2)\;6\sqrt[3]{x^2}+7\sqrt[3]{x}-3=0\\ \\  6(\sqrt[3]{x})^2+7\sqrt[3]{x}-3=0\\ \\

Сделаем замену ∛x = t:

6t^2+7t-3=0\\ \\D=7^2-4\cdot6\cdot(-3)=49+72 = 121\\ \\ t=\dfrac{-7б\sqrt{121}}{2\cdot6} \\ \\  \left \lbrack {\Big{t=\dfrac{-7-11}{12}, } \atop \Big{t=\dfrac{-7+11}{12}}} \right. \\ \\\\ \left \lbrack {\Big{t=-\dfrac{3}{2}, } \atop \Big{t=\dfrac{1}{3}}} \right.

Обратная замена:

\left \lbrack {\Big{\sqrt[3]{x} =-\dfrac{3}{2}, } \atop \Big{\sqrt[3]{x}=\dfrac{1}{3}}} \right. \\\\\\\left \lbrack \Bigg{x =-\dfrac{27}{8}, } \atop \Big{x=\dfrac{1}{27}}} \right.

Ответ: -27/8; 1/27.

Ответ дал: MatrixOfsciences
0

Ответ:

1) \: x \in \varnothing \\ 2) \: x  _{1} =  - 3.375  \\ x _{2}  =  \frac{1}{27}

Объяснение:

N°1:

  • Сделаем замену:
  •  \sqrt{x - 2}  = t

Тогда:

 \sqrt{x - 2 }  = t \:  |  ^{2}  \\ x - 2 =  {t}^{2}  \\ x =  {t}^{2}  + 2

Подставляем:

t +  \sqrt{3 - ( {t}^{2} + 2) }  = 10 \\ t +  \sqrt{3 -  {t}^{2}  - 2}  = 10 \\ t  +  \sqrt{1 -  {t}^{2} }  = 10 \\  \sqrt{1 -  {t}^{2} }  = 10 - t \:  |  ^{2}

При этом учитываем ОДЗ:

1 -  {t}^{2}  \geqslant 0   \ | \times ( - 1) \\ 10 - t \geqslant 0 \\  \\  {t}^{2}  - 1  \leqslant  0 \\ t \leqslant 10 \\  \\ (t - 1)( t+ 1) \leqslant 0  \\ t \leqslant 10 \\  \\ t \in  [  - 1 ; 1]

Продолжаем решать:

 \sqrt{1 -  {t}^{2} }  = 10 - t \: | ^{2}  \\ 1  -   {t}^{2}  = 100 - 20t +  {t}^{2}  \\ 2 {t}^{2}  - 20t  +  99 = 0 \\ d =  {20}^{2}   -  4 \times 99 \times 2 =  - 392 \\ d &lt; 0 \:  \:  \:  \:  =  &gt; t \in  \varnothing \:  \:  \:  \:  =  &gt; x \in \varnothing

Корней в данном уравнении нет

N°2:

6 \sqrt[3]{ {x}^{2} }  + 7 \sqrt[3]{x}  - 3 = 0

Сделаем замену:

 \sqrt[3]{x}  = t

Подставляем:

6 {t}^{2} + 7t - 3 = 0 \\ d =  {7}^{2}  - 4 \times 6 \times ( - 3) = 49 + 72 = 121 =  {11}^{2}  \\ t_{1} =  \frac{ - 7  - 11}{2 \times 6}  =  \frac{ - 18}{ 12}  =  \frac{ - 3}{2}   \:  \:  \:  \:  \:  \:  \ \:  \:  \:  \: t  _{2} =  \frac{ - 7 + 11}{2 \times 6}  =  \frac{4}{12}  =  \frac{1}{3}

Теперь делаем обратную замену:

 \sqrt[3]{x}  =  \frac{ -3 }{2}  \:   |  ^{3}   \:  \:   \:  \:  \:  \:  \:  \:  \:  \:  \:  \:  \sqrt[3]{x}  =  \frac{1}{3}   \ |  ^{3} \\ x _{1} =  \frac{  { - 3}^{3} }{ {2}^{3} }  \:  \:  \:  \:  \:  \ \:  \:  \: x _{2} =  \frac{ {1}^{3} }{ {3}^{3} }  \\ x _{1} =  \frac{ - 27}{8}  =  - 3.375 \:  \:  \:  \:  \:  \:  \:  \:  \:  \:  \: x _{2} =  \frac{1}{27}

Вас заинтересует