Ответы
Ответ дал:
1
Ответ:
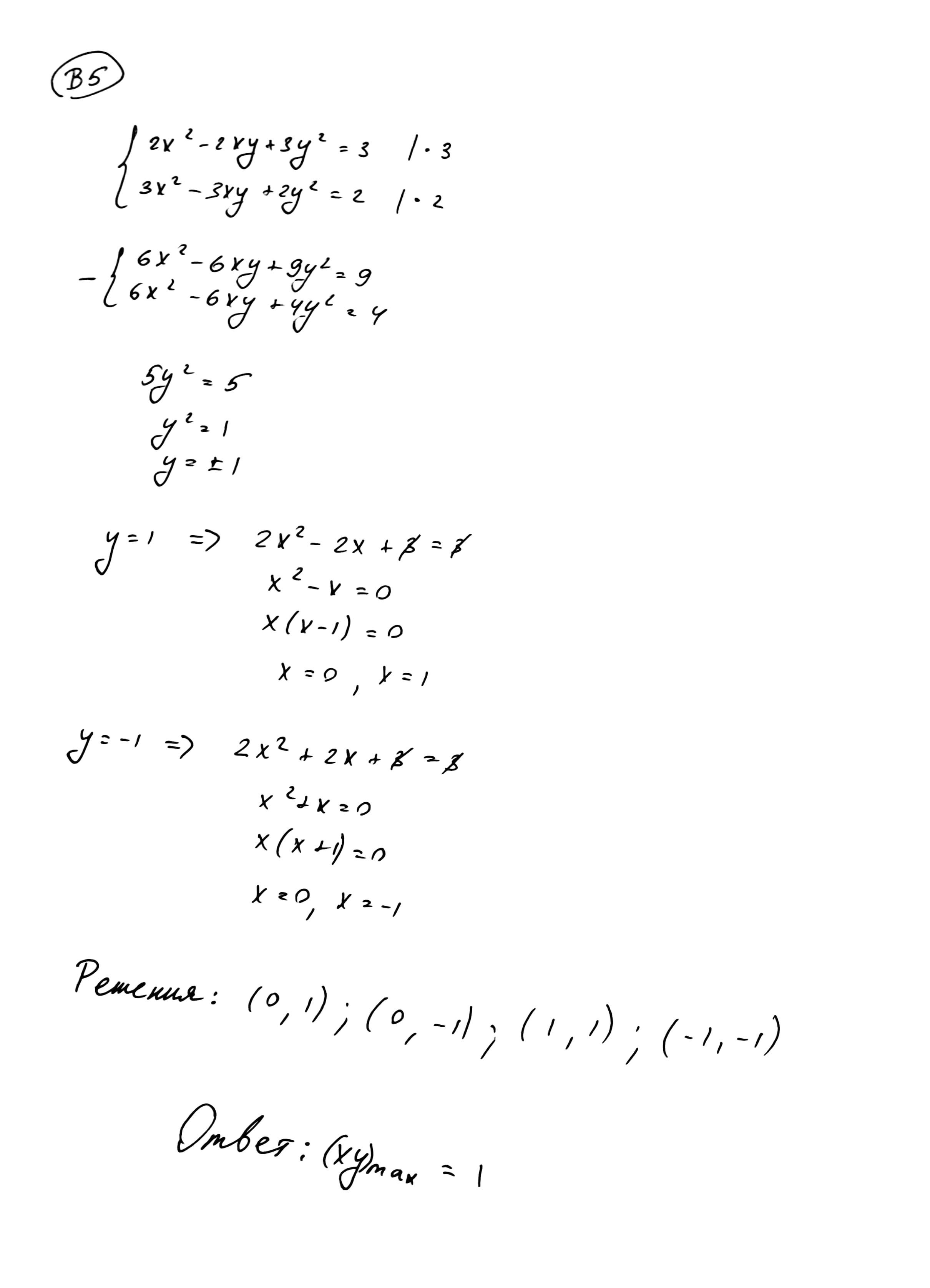
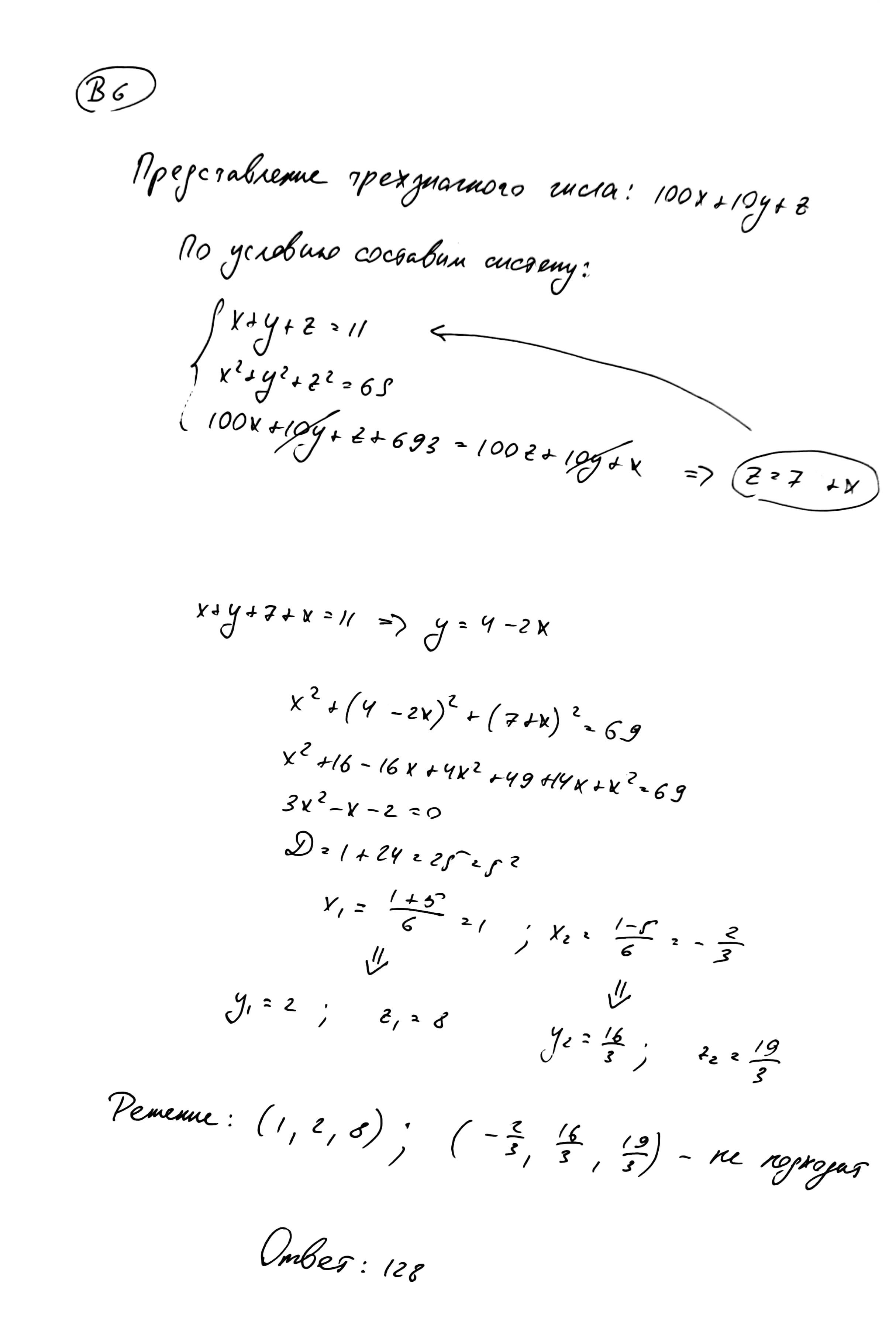
В5 - 1, В6 - 128
Объяснение:
Смотреть в сканах
Приложения:


Вас заинтересует
2 года назад
3 года назад
3 года назад
8 лет назад
9 лет назад