• Предмет: Математика
  • Автор: sha8anovdim
  • Вопрос задан 7 лет назад

Очень нужна помощь с математикой Логарифмирование и потенцирование выражений


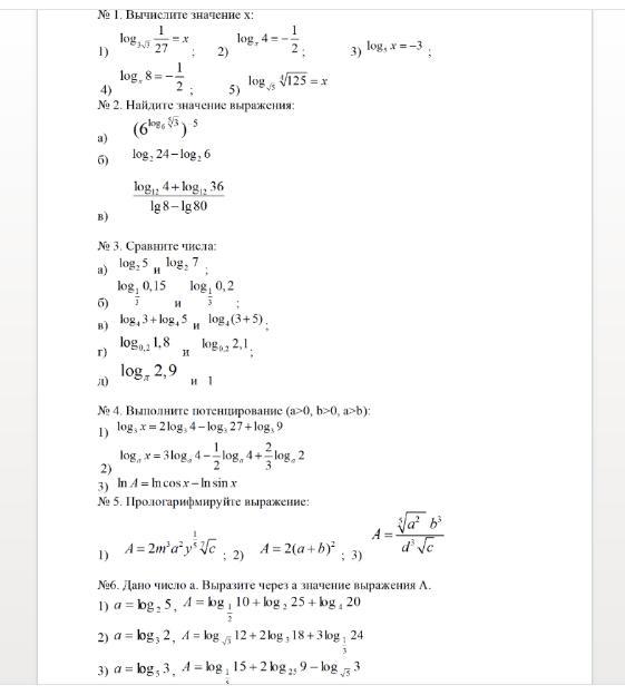
№1 Вычислите значение x


1.log3корень3 1/27=x

2.logx4=- 1/2 минус одна вторая

3.log5x= -3

4.logx8=- 1/2 минус одна вторая

5.logкорень5 4корень125=x 4 это степень корня

Приложения:

Ответы

Ответ дал: NeZeRAvix
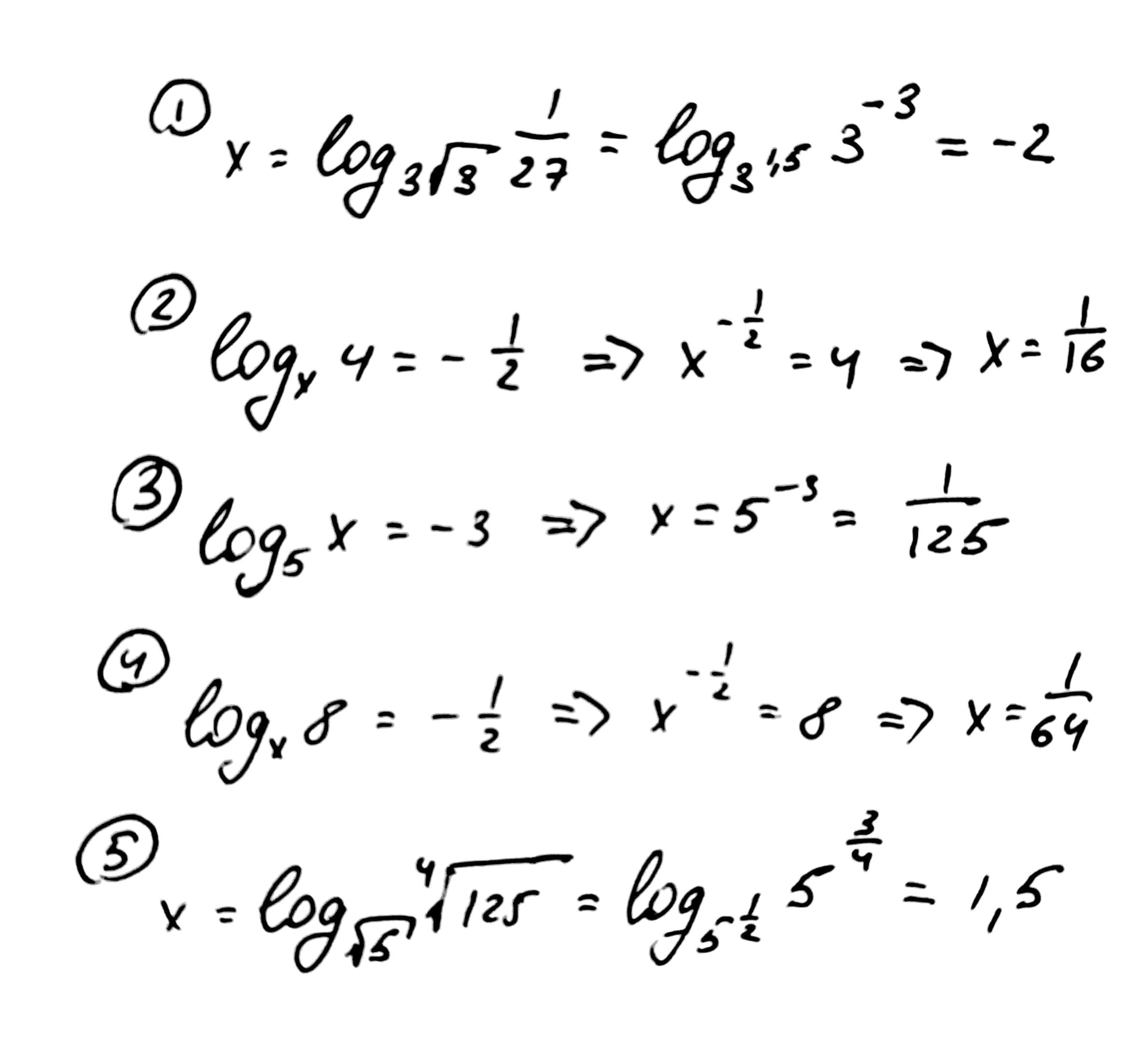
1

Ответ:

-2; 1/16; 1/125; 1/64; 1.5

Пошаговое объяснение:

Смотреть в скане

Приложения:
Вас заинтересует