• Предмет: Алгебра
  • Автор: j26jcp29t4
  • Вопрос задан 7 лет назад

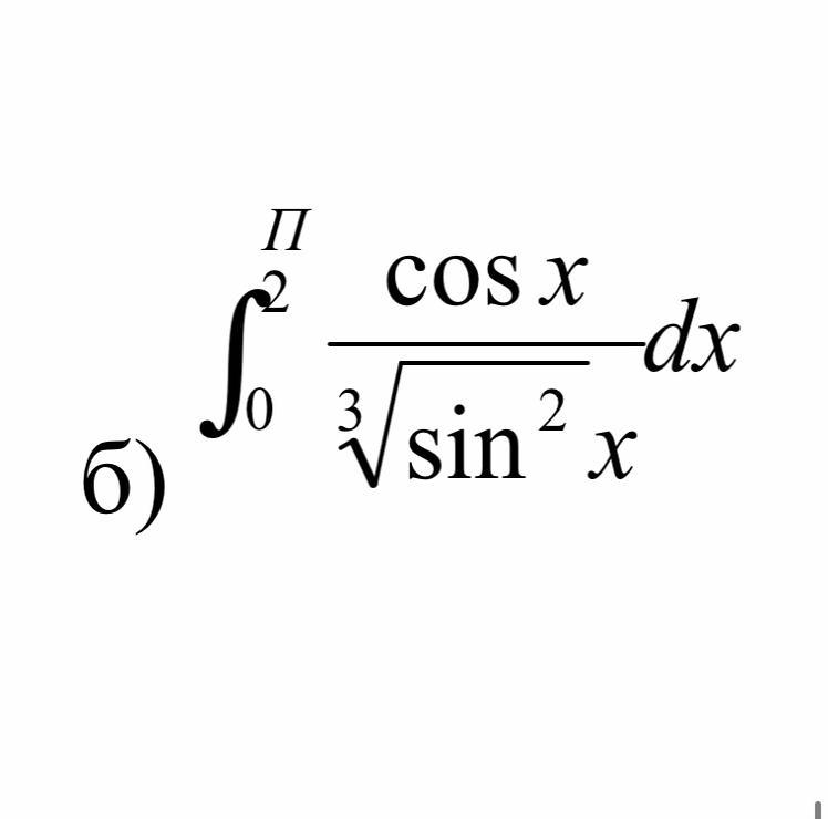
Помогите найти и вычислить интеграл

Приложения:

Ответы

Ответ дал: NNNLLL54
0

Ответ:

\displaystyle \int\limits_0^{\frac{\pi}{2}}\, \dfrac{cosx}{\sqrt[3]{sin^2x}} dx=\int\limits^{\frac{\pi}{2}}_0\, (sinx)^{\frac{2}{3}}\cdot \underbrace{cosx\, dx}_{d(sinx)}=\int\limits^{\frac{\pi}{2}}_0\, (sinx)^{\frac{2}{3}}\cdot d(sinx)=\\\\\\=\Big[\ t=sinx\ ,\ \int t^{\frac{2}{3}}\, dx=\dfrac{t^{\frac{5}{3}}}{5/3}+C=\frac{3\sqrt[3]{sin^5x}}{5}+C\ \Big]=\frac{3\sqrt[3]{sin^5x}}{5}\, \Big|_0^{\frac{\pi}{2}}=  

\displaystyle =\frac{3}{5}\cdot \Big(\sqrt[3]{sin^5\frac{\pi }{2}}-\sqrt[3]{sin^50}\Big)=\frac{3}{5}\cdot \Big(1-0\Big)=\frac{3}{5}

Вас заинтересует
3 года назад