• Предмет: Алгебра
  • Автор: asustimofey
  • Вопрос задан 7 лет назад

Помогите пж хотя бы 1 или 2 или все если сможете,у меня 30 мин пж :(

Приложения:

Ответы

Ответ дал: tajikman4
1

Объяснение:

решение на фотографии смотрим

Приложения:

asustimofey: спс выручил)
tajikman4: выбери пожалуйста как лучший ответ
Ответ дал: NNNLLL54
0

Ответ:

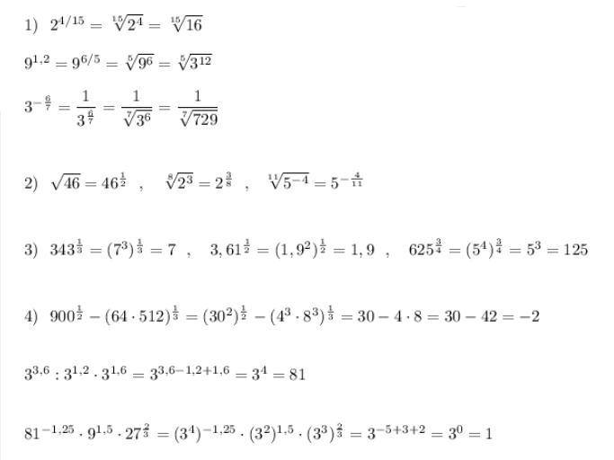
1)\ \ 2^{4/15}=\sqrt[15]{2^4}=\sqrt[15]{16}\\\\9^{1,2}=9^{6/5}=\sqrt[5]{9^6}=\sqrt[5]{3^{12}}\\\\3^{-\frac{6}{7}}=\dfrac{1}{3^{\frac{6}{7}}}=\dfrac{1}{\sqrt[7]{3^6}}=\dfrac{1}{\sqrt[7]{729}}

2)\ \ \sqrt{46}=46^{\frac{1}{2}}\ \ ,\ \ \ \sqrt[8]{2^3}=2^{\frac{3}{8}}\ \ ,\ \ \sqrt[11]{5^{-4}}=5^{-\frac{4}{11}}

3)\ \ 343^{\frac{1}{3}}=(7^3)^{\frac{1}{3}}=7\ \ ,\ \ \ 3,61^{\frac{1}{2}}=(1,9^2)^{\frac{1}{2}}=1,9\ \ ,\ \ \ 625^{\frac{3}{4}}=(5^4)^{\frac{3}{4}}=5^3=125

4)\ \ 900^\frac{1}{2}}-(64\cdot 512)^\frac{1}{3}}=(30^2)^{\frac{1}{2}}-(4^3\cdot 8^3)^{\frac{1}{3}}=30-4\cdot 8=30-42=-2\\\\\\3^{3,6}:3^{1,2}\cdot 3^{1,6}=3^{3,6-1,2+1,6}=3^{4}=81\\\\\\81^{-1,25}\cdot 9^{1,5}\cdot 27^{\frac{2}{3}}=(3^4)^{-1,25}\cdot (3^2)^{1,5}\cdot (3^3)^{\frac{2}{3}}=3^{-5+3+2}=3^0=1

Приложения:
Вас заинтересует