• Предмет: Математика
  • Автор: nikitagrya
  • Вопрос задан 7 лет назад

Помогите пожалуйста

Приложения:

Ответы

Ответ дал: Аноним
1

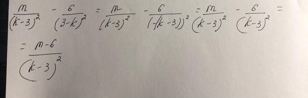
Ответ на фотографии.

Приложения:
Вас заинтересует