• Предмет: Алгебра
  • Автор: annapomogite71
  • Вопрос задан 8 лет назад

Помогите пожалуйста с алгеброй)

Приложения:

Ответы

Ответ дал: Universalka
2

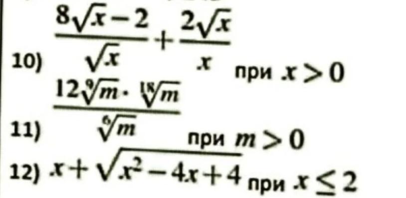
\displaystyle\bf\\10)\\\\\frac{8\sqrt{x}-2 }{\sqrt{x} } +\frac{2\sqrt{x} }{x} =\frac{(8\sqrt{x} -2)\cdot\sqrt{x} +2\sqrt{x} }{x} =\frac{8x-2\sqrt{x} +2\sqrt{x} }{x}=\\\\\\=\frac{8x}{x} =8\\\\\\11)\\\\\frac{12\sqrt[9]{m} \cdot\sqrt[18]{m} }{\sqrt[6]{m} } =\frac{12m^{\frac{1}{9} }\cdot m^{\frac{1}{18} }}{m^{\frac{1}{6} } }=12m^{\frac{1}{9} +\frac{1}{18}-\frac{1}{6}} =12m^{\frac{2+1-3}{18} } =12m^0=\\\\=12\cdot 1=12

\displaystyle\bf\\12)\\\\x+\sqrt{x^{2} -4x+4} =x+\sqrt{(x-2)^{2} } =x+|x-2|=x+2-x=2

Вас заинтересует