• Предмет: Математика
  • Автор: always57
  • Вопрос задан 8 лет назад

Помогите срочно дам 30 балов​

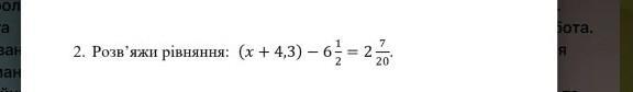
Приложения:

Ответы

Ответ дал: andreykramarenko3030
1

Ответ:

x=4,55

Пошаговое объяснение:


always57: спасибо большое
Вас заинтересует