• Предмет: Алгебра
  • Автор: itsvikaaaaa
  • Вопрос задан 8 лет назад

пожалуйста может кто-то решить?

Приложения:

Ответы

Ответ дал: nemo1661
0

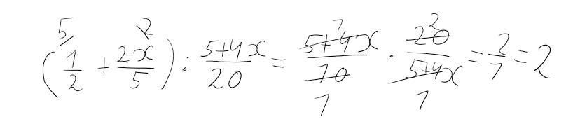
Ответ:

2

Объяснение:

Прикрепил

Приложения:
Вас заинтересует