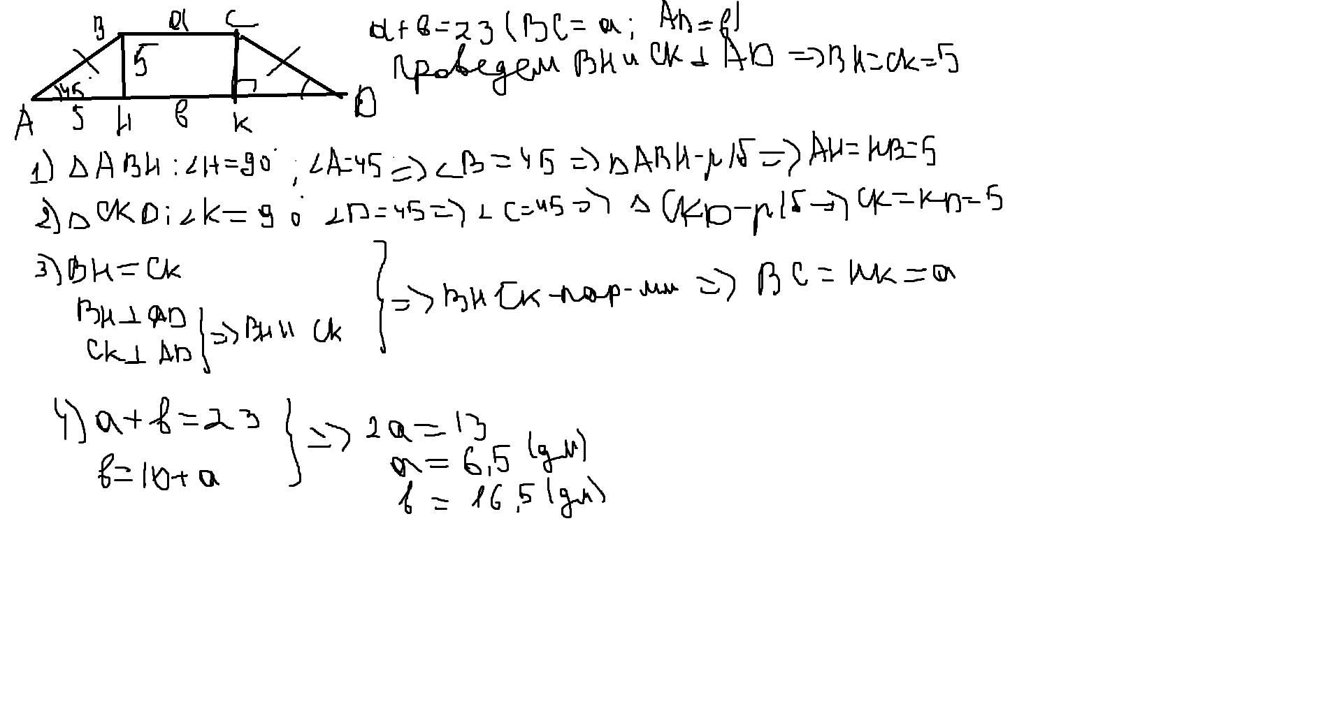
Острый угол равнобедренной трапеции равен 45 градусов, высота -5 дм, а сумма оснований 23 дм. Найдите длины оснований трапеций. ДАМ 65 БАЛЛОВ
Ответы
Ответ дал:
1
Ответ:
Объяснение:
Удачи
Приложения:

alishershimpiisov:
А тут с -5?
Вас заинтересует
2 года назад
3 года назад
8 лет назад
9 лет назад