• Предмет: Алгебра
  • Автор: ipelmeshek228
  • Вопрос задан 8 лет назад

[100 БАЛЛОВ] Решить дробно-рациональное уравнение
x2+3x-3 / x2-4x-7 + x2-4x-7 / x2+3x-3 = -2

Приложения:

Ответы

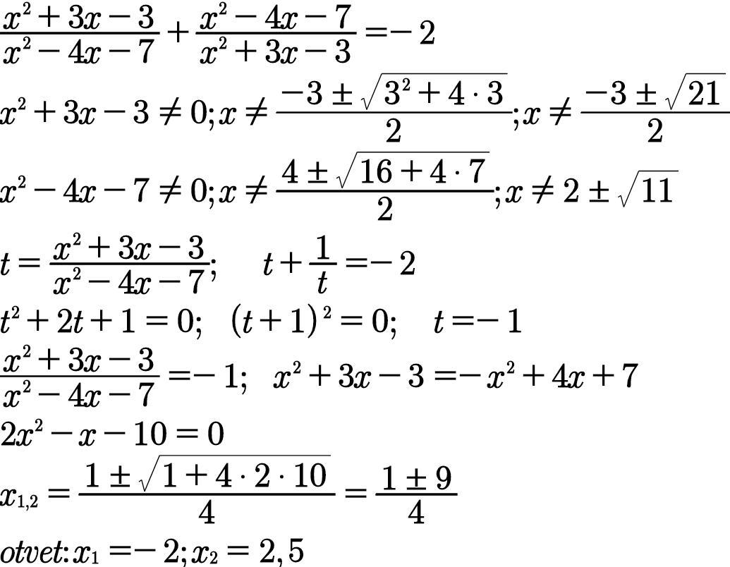
Ответ дал: tamarabernukho
1

Ответ:

Объяснение:

........................................

Приложения:
Вас заинтересует