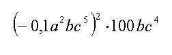
Укажіть коефіцієнт та степінь одночлена
(-0,1a²bc⁵)²*100bc⁴
А1
Б-1
В10
Г0,1
Ґ17
Д21
Е6
Є9
Приложения:

Ответы
Ответ дал:
0
Ответ:
Б,Д
Объяснение:
......................
Ответ дал:
1
Ответ:
Смотри решение на фото..
Приложения:

Вас заинтересует
2 года назад
2 года назад
3 года назад
3 года назад
8 лет назад
8 лет назад
9 лет назад