• Предмет: Алгебра
  • Автор: misazvaricuk
  • Вопрос задан 7 лет назад

Памаги решить алгебру

Приложения:

Ответы

Ответ дал: Margo5857
1

Ответ:

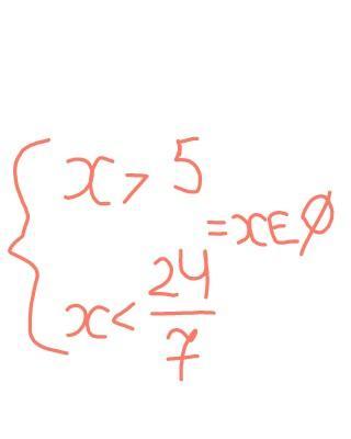
(x - 6) ^{2} < (x - 2 {)}^{2} - 8   \\ 3(2x - 1) - 8 < 34 - 3(5x - 9)

x > 5 \\ x <   \frac{24}{7}

Объяснение:

вот

Приложения:
Вас заинтересует