• Предмет: Математика
  • Автор: ARTIRCIK
  • Вопрос задан 7 лет назад

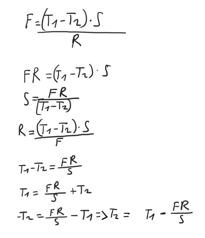
F=(T1-T2)*S/R Выразить R,S,T1 и T2

Ответы

Ответ дал: Tempire
0

Ответ:

Пошаговое объяснение:

Приложения:
Вас заинтересует