Ответы
Ответ дал:
1
Ответ:
40°
Пошаговое объяснение:
вот, держи
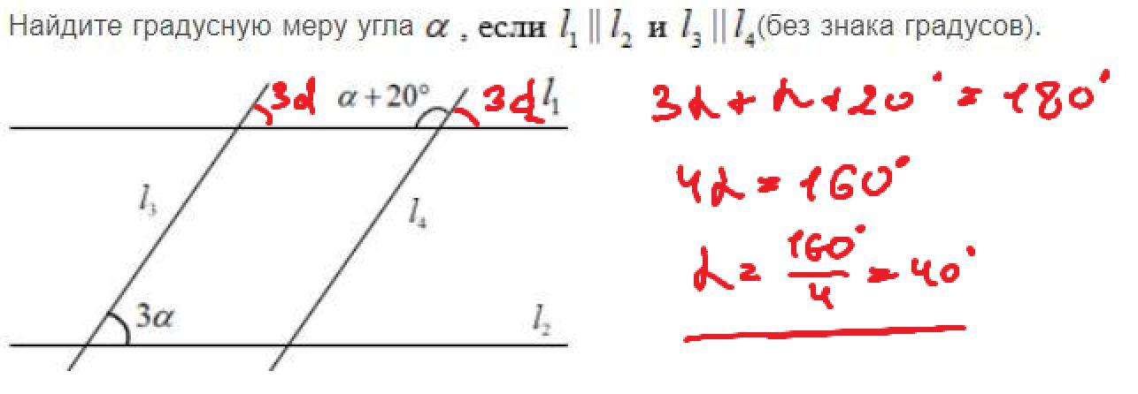
3а + а +20° = 180
4а = 160°
а = 40°
oleksandrkolaichuk:
поставь пж корону
Ответ дал:
1
Ответ:
40°
Пошаговое объяснение:
Фото
Приложения:


Вас заинтересует
2 года назад
3 года назад
8 лет назад
8 лет назад
9 лет назад