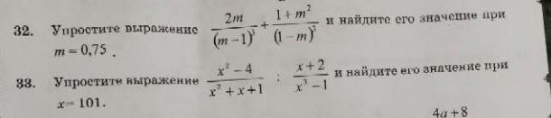
Ответы
Ответ дал:
1
Ответ:
..........................................................
Приложения:


Вас заинтересует
2 года назад
3 года назад
3 года назад
8 лет назад
9 лет назад