• Предмет: Алгебра
  • Автор: voutvovovolalvarvour
  • Вопрос задан 7 лет назад

Ответье пожалуйста..​

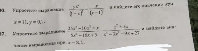
Приложения:

Ответы

Ответ дал: Avantgardе
1

Поскольку при возведении в квадрат любого числа получаем положительный ответ, то не имеет значения, в каком порядке располагаются числа в знаменателе, то есть

(x-1)^2=(1-x)^2

\dfrac{yx^2}{(1-x^2)}-\dfrac{y}{(x-1)^2}=\dfrac{yx^2-y}{(x-1)^2}=\dfrac{y(x^2-1)}{(x-1)^2}=\dfrac{y(x-1)(x+1)}{(x-1)^2}=\dfrac{y(x+1)}{x-1}

При x = 11 ; y = 0,1

\dfrac{0.1(11+1)}{11-1}=\dfrac{0.1\cdot12}{10}=\dfrac{1.2}{10}=0.12

Ответ:  0,12

\dfrac{25x^3-10x^2+x}{5x^2-16x+3}:\dfrac{x^2+3x}{x^3-3x^2-9x+27}=

=\dfrac{x(25x^2-10x+1)^2}{5x^2-x-15x+3}\cdot\dfrac{x^3+27-3x^2-9x}{x(x+3)}=

=\dfrac{(5x-1)^2}{x(5x-1)-3(5x-1)}\cdot\dfrac{(x+3)(x^2-3x+9)-3x(x+3)}{x+3}=

=\dfrac{(5x-1)^2}{(5x-1)(x-3)}\cdot\dfrac{(x^2-3x+9-3x)(x+3)}{x+3}=

=\dfrac{5x-1}{x-3}\cdot\dfrac{(x-3)^2}{1}=(5x-1)(x-3)=5x^2-15x-x+3=5x^2-16x+3

При x = 3,1

5\cdot3.1^2-16\cdot3.1+3=48.05-49.6+3=3-1.55=1.45

Ответ:  1,45

Вас заинтересует