Ответы
Ответ дал:
1
Ответ:
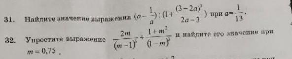
все на фото)
Объяснение:
Приложения:


Вас заинтересует
2 года назад
2 года назад
3 года назад
8 лет назад
8 лет назад
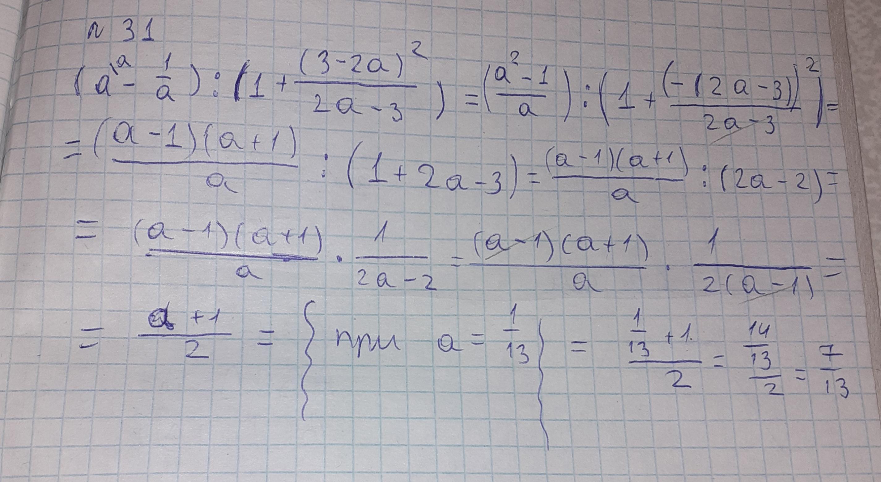
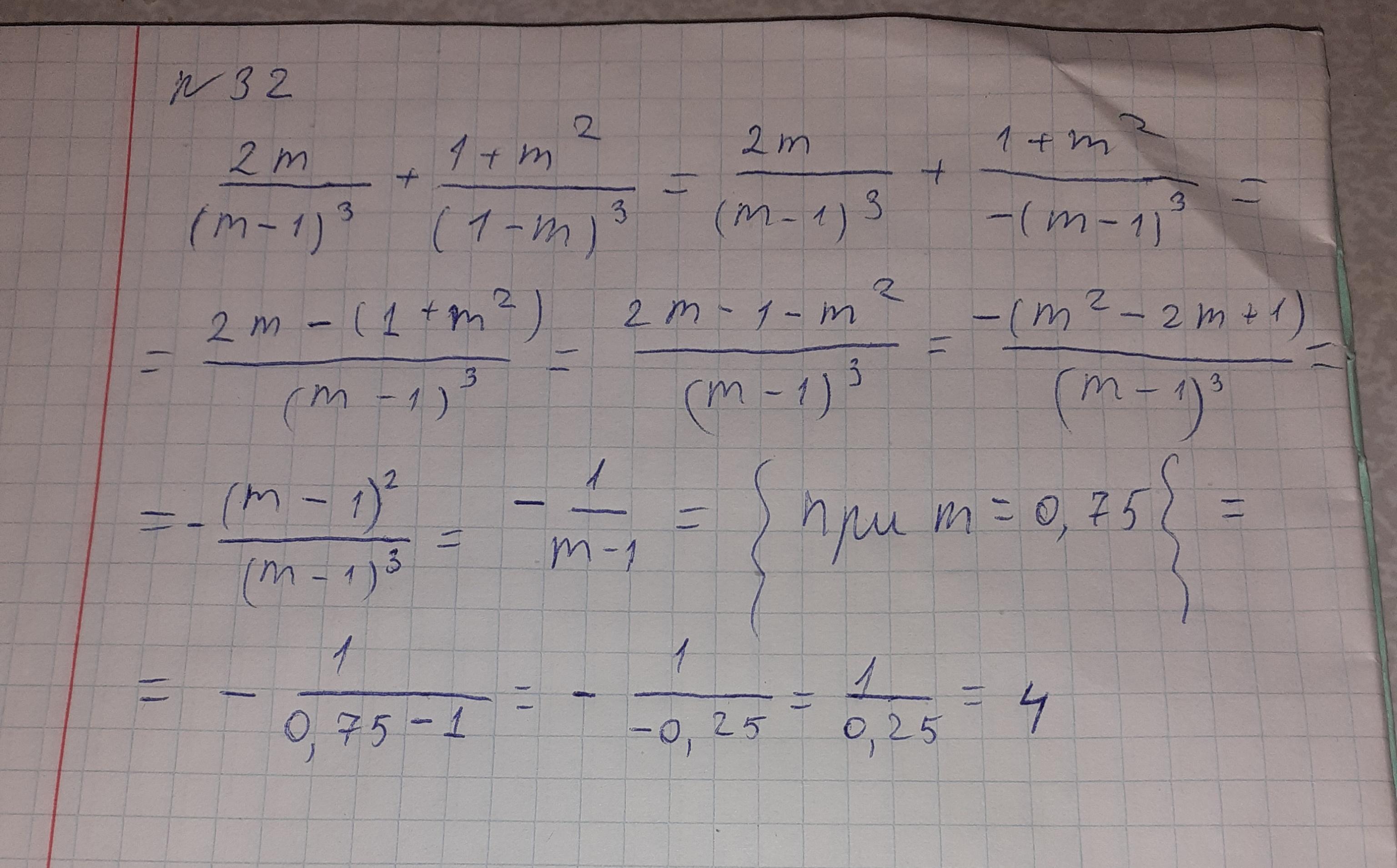
9 лет назад