Помогите решить задачу. На пошив пиджака ушло на 20% больше чем на пошив брюк. Сколько метров ушло на пошив брюк если всего потрачено 3,3 метра?
shushkasmol:
Я не понимаю как эксперт принял данный ответ. 3,3м это 100%. 3,3:100=0,033м, приходится на 1% 0,033*60=1.98м, потрачено на пиджак 0,033*40=1,32м, на брюки.
Ответы
Ответ дал:
1
Ответ:
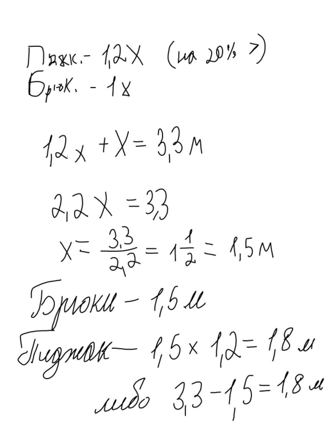
Пиджак 1.8м
Брюки 1.5м
Объяснение:
на фото, подпишись на меня по братски если не тяжело
Приложения:

Вас заинтересует
2 года назад
2 года назад
3 года назад
3 года назад
8 лет назад
8 лет назад
9 лет назад
9 лет назад