Ответы
Ответ дал:
2
Ответ:
Вроде так
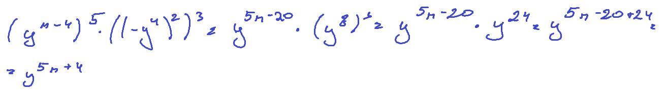
Объяснение:
Приложения:

Вас заинтересует
2 года назад
3 года назад
3 года назад
8 лет назад
8 лет назад
9 лет назад