• Предмет: Алгебра
  • Автор: chayka1975
  • Вопрос задан 7 лет назад

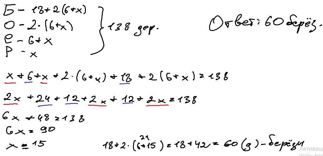
Помогите пожалуйста решить задачу. В парке растут берёзы, осины, ели и рябины. Берёз на 18 больше чем осин, осин в 2 раза больше чем елей, а рябин на 6 меньше чем елей. Сколько в парке берёз если всего 138 деревьев?

Ответы

Ответ дал: skala
1

Ответ:

Фото

Объяснение:

Приложения:
Ответ дал: Avantgardе
0

Пусть x – все ели, посаженные в парке; тогда рябин x - 6;  осин 2x; берёз 2x + 18

Зная, что всего в парке растёт 138 деревьев, составим уравнение:

x+(x-6)+2x+(2x+18)=138\\\\x+x-6+2x+2x+18=138\\\\6x=138+6-18\\\\6x=126\\\\x=126:6

x=21  (елей) – растёт в парке

21\cdot2+18=60 (берёз) – растёт в парке

Ответ: 60 берёз

Вас заинтересует