Ответы
Ответ дал:
2
Пошаговое объяснение:
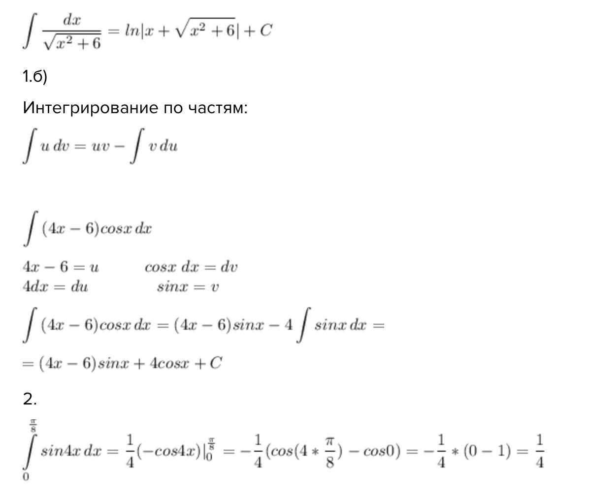
1. a)
1.б)
Интегрирование по частям:
2.
Приложения:

Аноним:
можно фото, как на том вопросе, вы поняли о чем я
Вас заинтересует
2 года назад
2 года назад
3 года назад
3 года назад
8 лет назад
9 лет назад