• Предмет: Математика
  • Автор: Аноним
  • Вопрос задан 7 лет назад

Помогите пожалуйста ​

Приложения:

Ответы

Ответ дал: NNNLLL54
1

Ответ:

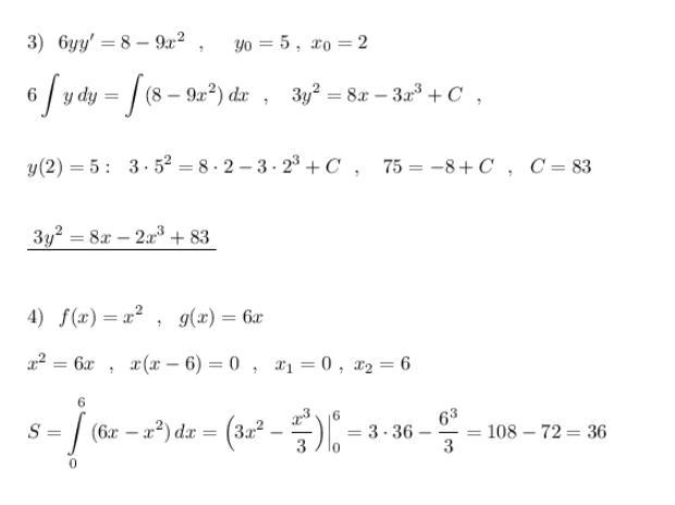
3)\ \ 6yy'=8-9x^2\ \ ,\ \ \ \ y_0=5\ ,\ x_0=2\\\\\displaystyle 6\int y\, dy=\int (8-9x^2)\, dx\ \ ,\ \ \ 3y^2=8x-3x^3+C\ \ ,\\\\\\y(2)=5:\ \ 3\cdot 5^2=8\cdot 2-3\cdot 2^3+C\ \ ,\ \ \ 75=-8+C\ \ ,\ \ C=83\\\\\\\underline{\ 3y^2=8x-2x^3+83\ }

\displaystyle 4)\ \ f(x)=x^2\ \ ,\ \ g(x)=6x\\\\x^2=6x\ \ ,\ \ x(x-6)=0\ \ ,\ \ x_1=0\ ,\ x_2=6\\\\S=\int\limits_0^6\, (6x-x^2)\, dx=\Big(3x^2-\dfrac{x^3}{3}\Big)\Big|_0^6=3\cdot 36-\frac{6^3}{3}=108-72=36

Приложения:

Аноним: как его записать на листочке? и можно проверить верно ли это?
NNNLLL54: проверить можно, решив самому примеры
Аноним: хахахп, о дааа, я их не решу, я полный 0 в математике, я даже базового уровня не имею в свои 17))
Аноним: спасибо большое вам
Вас заинтересует