Задание 4.
Решите системы уравнений:


Ответы
Ответ:
№1
(1;-1), (5;7)
№2
(-27;11)
Объяснение:
Всё в файлике
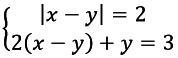
1. 1) если х-у<0, то -х+у=2, откуда у=2+х, подставим во второе уравнение, получим 2*(х-(х+2))+х+2=3; 2х-2х-4+х+2=3; х=5, значит, у=2+5=7; проверим х-у<=5-7=-2; подходят, значит, решение системы х=5; у=7, или же точка (5;7)
2) если х-у≥0, то х-у=2, откуда у=х-2, подставим во второе уравнение, получим 2*(х-(х-2))+х+2=3; 2х-2х+4+х-2=3; х=1, значит, у=1-2=-1; проверим
х-у<=1-(-1)=2; подходят, значит, решение системы х=1; у=-1, или же точка (1;-1)
Ответ: 1. (5;7); (1;-1)
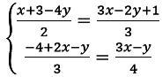
2. приведем к общему знаменателю, в первом уравнении это 6, во втором 12, т.к. знаменатели взаимно просты, то НОЗ этих знаменателей - их произведение.
упростим первое уравнение, 3*(х+3-4у)=2*(3х-2у+1); 3х+9-12у=6х-4у+2;
-8у-3х=-7;
упростим второе уравнение 4*(-4+2х-у)=3*(3х-у); -16+8х-4у=9х-3у;
х+у=-16.
Получили упрощенную систему
х+у=-16
-3х-8у=-7, умножим первое уравнение на 3 и сложим со вторым, получим
3х+3у=-48
-3х-8у=-7, после сложения -5у=-55; у=11, подставим в уравнение х+у=-16, получим х+11=-16, откуда х=-27, значит, решение системы - точка (-27;11)
Ответ х=-27; у=11