Даю 50 баллов.
Объясните, как решить эти задания?
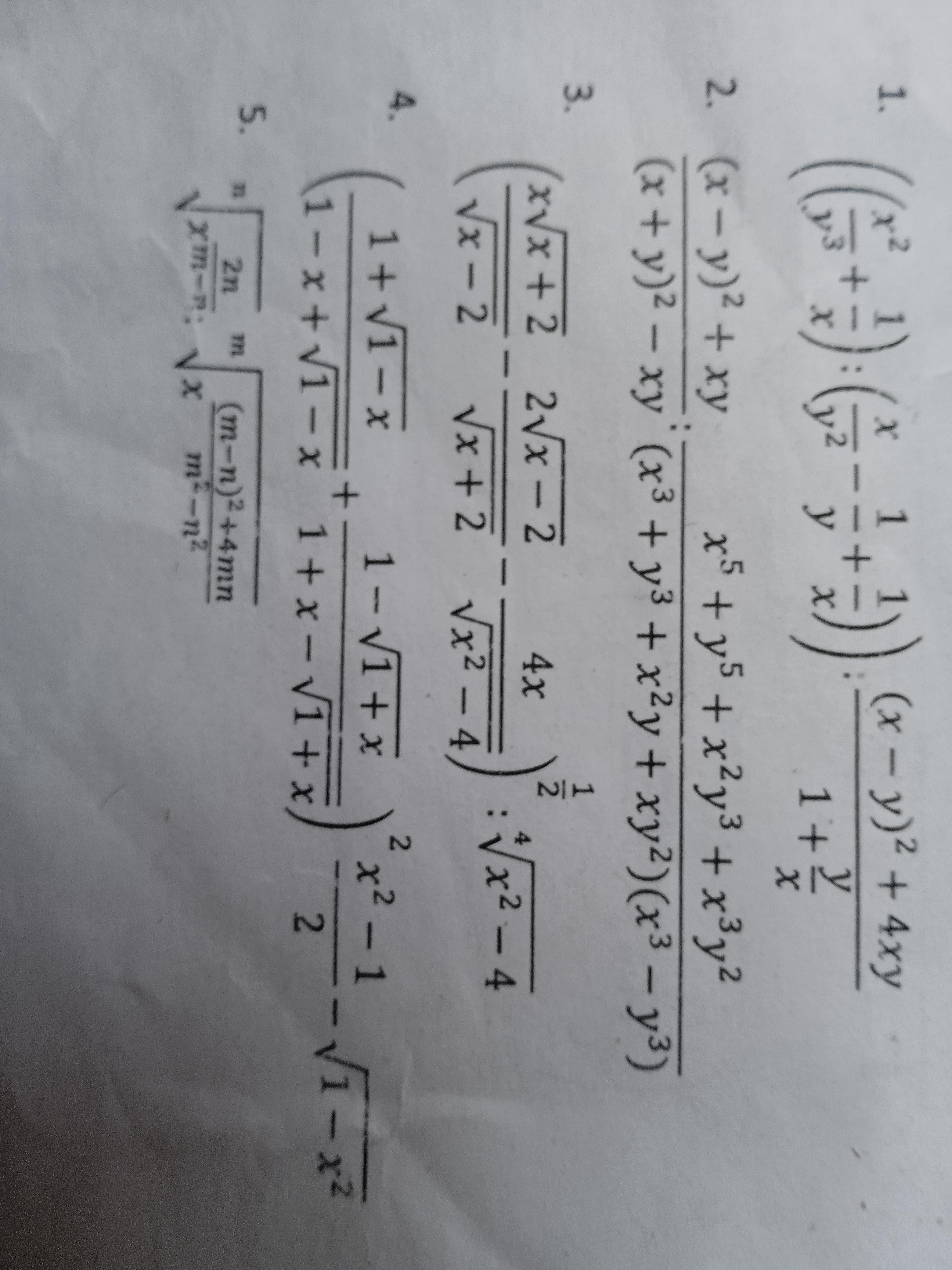
Ответы: 1/ху , х-у, корень дроби (х-2) /(х+2) , -1 , м корней из х.
Нужно само решение номеров, можно по одному.
Приложения:

Ответы
Ответ дал:
2
Ответ:
Объяснение:...........
Приложения:



Вас заинтересует
2 года назад
3 года назад
3 года назад
8 лет назад
8 лет назад
9 лет назад