• Предмет: Алгебра
  • Автор: pomogiti52
  • Вопрос задан 7 лет назад

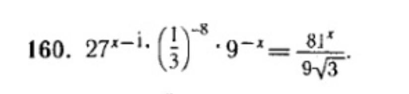
Дам 15 баллов за 1 пример!Решите показательное уравнение

Приложения:

Ответы

Ответ дал: prostodima1200
0

Ответ:

27-(1-3) х9=81-9;3=98

Ответ дал: sangers1959
1

Объяснение:

27^{x-1}*(\frac{1}{3})^{-8}*9^{-x}=\frac{81^x}{9\sqrt{3} }  \\(3^3)^{x-1}*3^8*(3^2)^{-x}=\frac{(3^4)^x}{3^2*3^{\frac{1}{2} }}\\3^{3x-3}} *3^8*3^{-2x}=\frac{3^{4x}}{3^{2,5}}\\3^{3x-3+8-2x} =3^{4x-2,5}\\3^{x+5}=3^{4x-2,5}\\x+5=4x-2,5\\3x=7,5\ |:3\\x=2,5.

Ответ: x=2,5.

Вас заинтересует