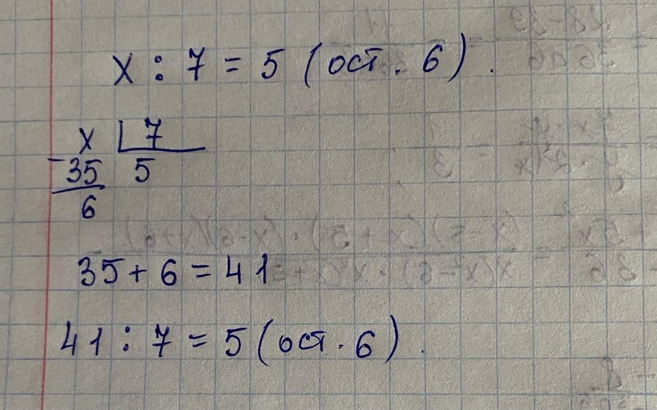
Число разделили на 7 и в частном получили 5 и остаток на 1 больше частного. Какое число разделили на 7?
Ответы
Ответ дал:
1
Ответ:
Пошаговое объяснение:
Приложения:

Ответ дал:
0
Ответ:
Вас заинтересует
2 года назад
2 года назад
3 года назад
3 года назад
8 лет назад
9 лет назад
9 лет назад