• Предмет: Математика
  • Автор: alexanderpomazckin
  • Вопрос задан 7 лет назад

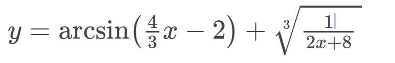
Помогите пожалуйста найти область определения функции подробно
заранее спасибо

Приложения:

Ответы

Ответ дал: solomiyatim
1

Облась определения арксинуса: [-1;1]

-1≤4х/3 -2≤1

3≤4х≤9

х є [0,75; 2,25]

Корень непарной степени, пэтому область определения - все числа, но знаменатель дроби не должен равняться 0

х≠-4

Ищем пересечение

Ответ: [0,75; 2,25]

Вас заинтересует