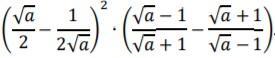
прошу решение подробно вот оно в другом виде 4/(x^2+4)+5/(x^2+5)
Приложения:

volodyaovsannikov15:
люди сори не то написал вот это надо решить (4/(x^2+4))+(5/(x^2+5))=2
Ответы
Ответ дал:
1
Ответ:
........................
Приложения:

Вас заинтересует
2 года назад
3 года назад
3 года назад
8 лет назад
9 лет назад