помогите пожалуйста
Через python​

Приложения:

Ответы

Ответ дал: vimmortal2
0

Программа:

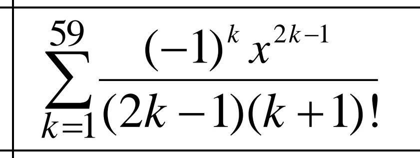
Python:

from math import factorial

x = float(input('x = '))

print(sum((pow(-1, k) * pow(x, (2*k - 1))) / ((2*k - 1) * factorial(k + 1)) for k in range(1, 59)))

Вас заинтересует