• Предмет: Алгебра
  • Автор: KPYTblLIJKAA
  • Вопрос задан 8 лет назад

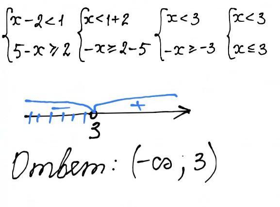
{x-2<1
5-x≥2
Помогите пожалуйста, Если что это большая {

Ответы

Ответ дал: Аноним
1

см. вложение............

Приложения:
Вас заинтересует