• Предмет: Математика
  • Автор: Kim201912
  • Вопрос задан 7 лет назад

очень срочно нужно пожалуйста​

Приложения:

Ответы

Ответ дал: M1KITA
0

Ответ:

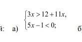
x ∈ (-∞; -1,5);

Пошаговое объяснение:

(-12) > 11x - 3x   =>   (-12) > 8x   =>   x < (-1,5);

5x - 1 < 0   =>   5x < 1   =>   x < 0,2;

Откуда ответ: x ∈ (-∞; -1,5);

Ответ дал: hanumramazanova99
0

Ответ:

3x-11x>12

5x<1+0

=

-8x>12

5x<1

Пошаговое объяснение:

вроде так )

Вас заинтересует