Ответы
Ответ дал:
1
Ответ:
Пошаговое объяснение:
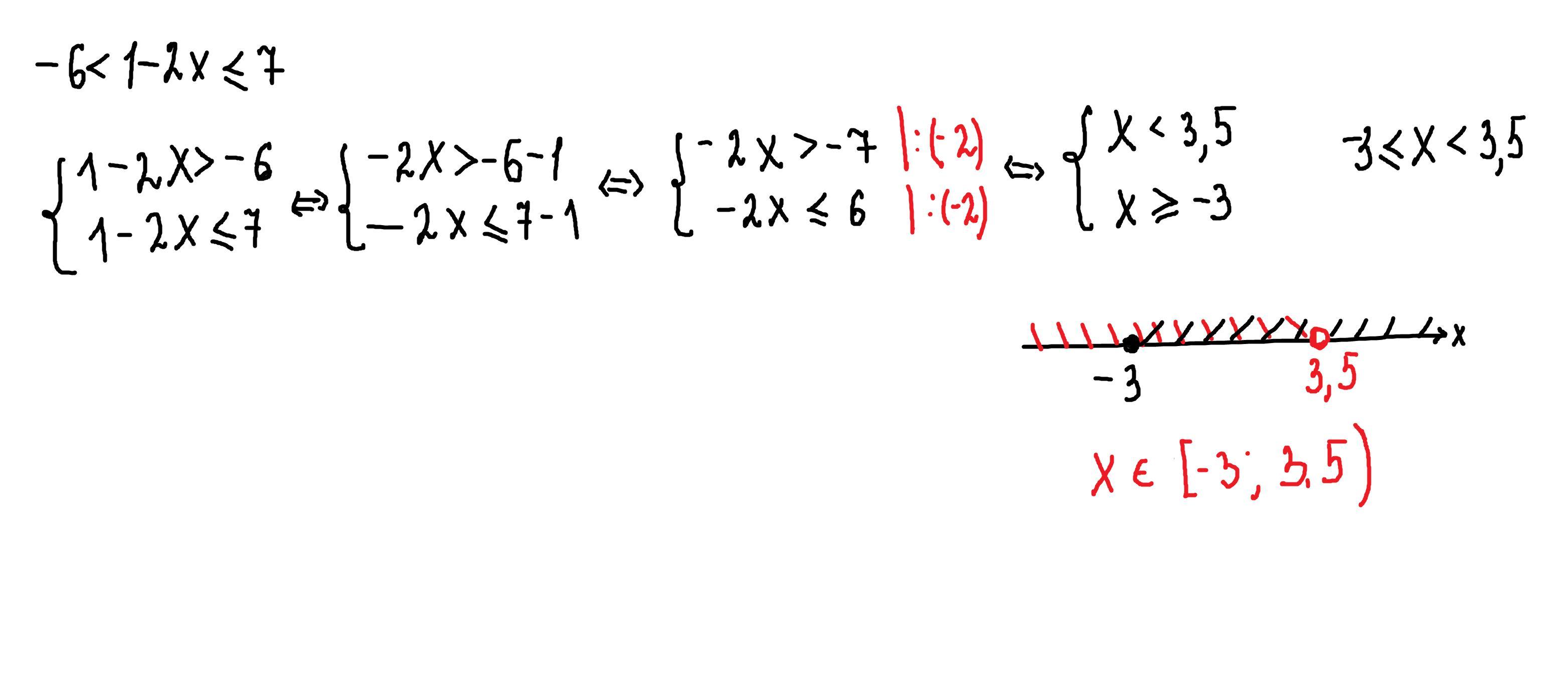
1)1-2х<=7
-2х<=6
Х>=-3
2)-6<1-2x
-7<-2x
3,5>x
Ответ дал:
1
Ответ:
-3≤х< 3,5
Пошаговое объяснение:
Приложения:

Вас заинтересует
2 года назад
2 года назад
3 года назад
8 лет назад
8 лет назад
9 лет назад